ALL ISSUANCES
Division Memorandum [Numbered]
Division Memorandum [UnNumbered]
Division Advisories
Display All
Search Title:
Page
274
of 275
Back
273
274
275
Next
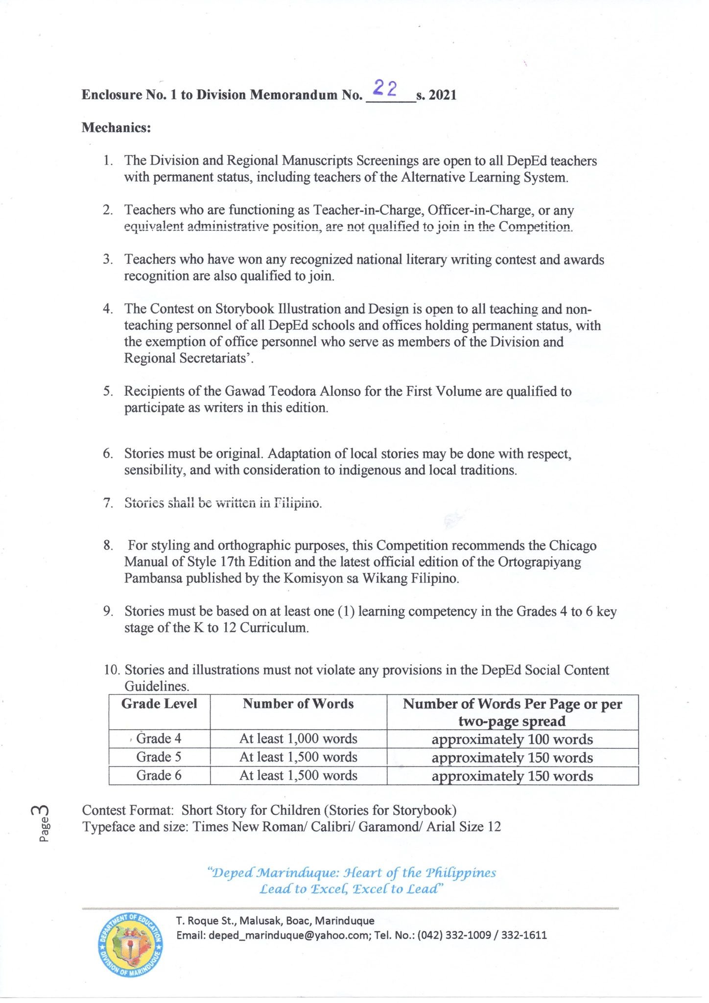
Jun 01, 2021 2021 DIVISION COMPETITION ON STORYBOOK WRITING FOR GRADES 4 TO 6 LEARNERS
|
Page 2
|
Page 3
|
Page 4
|
Page 5
|
Page 6
May 31, 2021 WEBINAR ON ENHANCING THE SCHOOL INFORMATION, EDUCATION AND COMMUNICATION MATERIALS USING CANVA
|
Page 2
|
Page 3
May 28, 2021 SEARCH FOR HERITAGE TREES IN PUBLIC SCHOOLS
|
Page 2
|
Page 3
|
Page 4
|
Page 5
May 20, 2021 TRAINING NEEDS ASSESSMENT (TNA) SURVEY
|
Page 2
|
Page 3
May 20, 2021 HIKIT, a Free Online Lecture-demonstration on "Nito" Weaving
|
Page 2
|
Page 3
May 20, 2021 DIVISION MEMORANDUM NO. 21, S. 2021 VIRTUAL TRAINING ON UTILIZATION OF STATISTICAL SOFTWARE PACKAGES IN DATA PROCESSING
|
Page 2
|
Page 3
|
Page 4
|
Page 5
|
Page 6
|
Page 7
May 20, 2021 DISINFECTION OF SDO
May 19, 2021 CONDUCT OF PARTNERSHIP ENGAGEMENT REORIENTATION IN RELATION TO OPENING OF CLASSES
|
Page 2
|
Page 3
Page
274
of 275
Back
273
274
275
Next